Bikvadrat tenglama. Simmetrik tenglamalar

 I. ax4+bx2+c=0 ko'rinishidagi tenglama bikvadrat tenglama deyiladi. Tenglamani yangi o'zgaruvchi kiritish usuli bilan yechiladi: x2=t; x4=t2; at2+bt+c=0. (kvadrat tenglamani yechish).

Agar tenglamaning yechimlari t1>0 va t2>0 bo'lsa, bikvadrat tenglamaning 4 ta ildizi bo'ladi: .  Agar t1 va t2 lardan biri manfiy bo'lsa, 2 ta yoki t=0 da bitta ildizga ega bo'ladi.

II. ax3+bx2+bx+a=0; a≠0 tenglama uchinchi darajali simmetrik tenglama deyiladi. 
ax3+bx2+bx+a=(x+1)(ax2+(b-a)x+a).
x3+px2+qx+r=0 keltirilgan kubik tenglama deyiladi.
x1+x2+x3=-p;  x1⋅x2+x2⋅x3+x1⋅x3=q;  x1⋅x2⋅x3=-r.

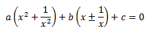
ax4+bx3+cx2±bx+a=0; a≠0 tenglama to'rtinchi darajali simmetrik tenglama deyiladi. x2 ga bo'lib yuborilsa, .   o'zgaruvchilar bilan almashtiriladi. a(y2-2)+by+c=0  va  a(z2+2)+bz+c=0. 

6 комментариев:

  1. 3x⁴+8x²-11=0
    x²=t
    3t²+8t-11=0
    Kvadrat tenglamaga kelgandan soʻng
    Diskriminat formulasidan foydalanib t=1 vat=-5.5 ni topamiz
    x²=1 bundan x=+1 va x=-1ligini topamiz.
    Kvadrat manfiy songa teng boʻlmagani uchun -5.5 yechim emas.

    ОтветитьУдалить
  2. Анонимный6/1/23 10:59

    how i find x^3 issues
    which is find beginning of x^3 it is difficult

    ОтветитьУдалить
  3. Анонимный29/5/23 14:19

    All the best

    ОтветитьУдалить